Efficiency of Transformer|Equation & Example

Efficiency of Transformer: In this article, you will learn how transformer efficiency is calculated and the transformer efficiency equation. A solved problem is also provided for better understanding.

Transformer Efficiency

The efficiency of a transformer (or, in fact, any other device) is

Join EEE Made Easy Whatsapp Channel

effi ciency of transformer

The transformer has two losses:
Core (iron) loss Pi which is a constant loss
Copper (I2R) loss, Pc (both windings), a variable loss.

Books for All Competitive Exams

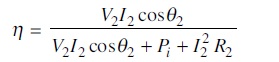
With reference to Fig a transformer on load,

where R2 is the equivalent transformer resistance referred to the secondary.
Reorganising

efficiency eqn of transformer

For a given pf, the efficiency varies with the load current. Maximum efficiency is achieved when Eq. (6.58)
has ma inimum denominator, i.e.

equation transformer efficiency

For a given pf, the efficiency varies with the load current. Maximum efficiency is achieved when Eq. (6.58)
has a minimum denominator, i.e.

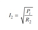
copper loss equal to iron loss

or copper loss = iron loss
or variable loss = constant loss

The efficiency is maximum at a load current of

effi ciency is maximum at a load current of

and at a load of V2I2 cos ∅

  1. Power transformers: These are the transformers employed at the transmission level where the load
    throughout the day is nearly constant. These are designed to have hmax at full load.
  2. Distribution transformers: The load at the distribution level has considerable variations during the day.
    So these transformers are designed to have hmax at about 3/4th full-load.

Question: Calculate the Efficiency of the Transformer

A transformer is rated 10 kVA, 50 Hz 2300/230 V. Its equivalent resistance and reactance on the HV
sides are 7.92 W and 3.16 W, respectively. It has a core loss of 75 W at a rated voltage of 2300 V.
(a) It is supplying a load of 10 kVA at 0.8 pf lagging at the rated voltage of 230 V. For this, the supply
Voltage on the HV side is 2410 V.
Compute its efficiency of operation. Assume the core loss to be proportional to the square of
the applied voltage.
(b) By sa hunt capacitor, the power factor of the load in part (a) is reformed to 0.97 lagging.
As a result, the supply voltage on the HV side needed is 2300 V, which means zero voltage
regulation. Compute the transformer efficiency under the operating condition.
(c) Find the maximum efficiency of the transformer for a load of 0.8 pf.

efficiency-of-transformer-solution

efficiency-of-transformer-solution-2

Read More on Transformer

  1. Transformers MCQ questions set 1
  2. Transformers MCQ Questions- Set 2
  3. Transformer MCQ Questions Set 3

Join EEE Made Easy Whatsapp Channel

Join EEE Made Easy Telegram channel

Download EEE Made Easy Ebook PDF Free

Books for All Competitive Exams

Latest Posts in EEE Made Easy

Leave a Comment